Web katalog
Najčitanije
Najčitanije zadnjih 7 dana
Najkomentiranije
Najbolje ocijenjeno
Statistika
- Ukupno registriranih korisnika: 10071
- Ukupno članaka: 23656
- Ukupno komentara: 2087
- Posljednji unos: Imenovan novi Nadzorni odbor Aluminija
- Zadnja promjena: 11.01.2019. 23:44
HRS: Tražimo ukidanje financiranja stranaka proračunskim sredstvima
HRS se u svojim programskim načelima zalaže za ukidanje privilegija izabranim dužnosnicima, ukidanje profesionalizacije mandata, te ukidanje financiranja stranaka proračunskim sredstvima. Zašto?
Iz prostog razloga što smo prezaduženi na svim razinama i ne vidi se kraja dugu u kojem tonemo, a sredstva se nenamjenski i netransparentno troše.
Primjerice, u takvom dužničkom ozračju, samo za financiranje stranaka godišnje poreski obveznici doniraju u prosjeku 18 mln KM. To su sredstva strankama na osnovu osvojenih mandata. Dakle, vi izaberete zastupnika, on dobiva plaću, privilegije, ovisno o razini i snose mu se životni troškovi, dobiva troškove reprezentacije, te da im ne bi slučajno ponestalo, dobivaju novac i za rad stranaka, navodi se u priopćenju HRS-a.
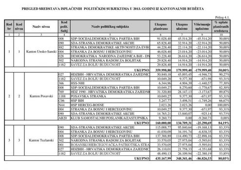
Pregled koliko su političke stranke dobile budžetskog novca za 2013. godinu.



Kako navode iz Hrvatske republikanske stranke, od svih županija samo HNŽ i Posavska županija ne uplaćuju porodiljne naknade, ali zato uplaćuju naknade političkim strankama i to HNŽ u prosjeku 360 tisuća KM, a Posavska 160 tisuća KM. Prosjek godišnjih primanja zastupnika u HNŽ-u iznosi 701 tisuća KM.
To znači da na godišnjoj razini u HNŽ-u dajemo preko 1 mln KM samo političkim strankama. A što dobivamo zauzvrat? Dakle, novaca za porodiljne naknade IMA, a kad krenemo tek razgovarati o reprezentativnim troškovima, troškovima administrativnog aparata, IMA i sredstava (koja su zakonom definirana, ali Vlada zakon ne poštuje) i za postupno uvođenje besplatnih udžbenika djeci iz socijalno ugroženih obitelji.
Vezani članci
- Ilija Cvitanović: Kad me Slavo Kukić napada, to je napredak
- Ramiz Halkić i Anel Šahinović predstavljat će Hrvate u Domu naroda
- Košarac: Vidljivo je da dva od tri konstitutivna naroda u BiH nisu zadovoljna stanjem u zemlji
- Nadbiskup Hoser: Najveći plodovi Međugorja su obraćenja
- Pogaziš popis iz '91, prekršiš Ustav FBiH i formiraš etnički čistu Vladu Kantona Sarajevo
- Arhiva vezanih članaka

























































Kontaktirajte nas
Nema komentara